Skip to content

#PlanB

La presidenta Claudia Sheinbaum celebró en la "mañanera" que la reforma electoral logró el respaldo mayoritario de los congresos locales.

Presidenta Sheinbaum confirma que el Plan B electoral ya es constitucional

Durante su conferencia matutina, la presidenta Claudia Sheinbaum confirmó que el Plan B de la Reforma Electoral ya alcanzó la validez constitucional necesaria. Tras una aprobación récord en 20 congresos estatales en menos de 12 horas, la reforma que elimina privilegios y limita presupuestos políticos será enviada al Senado para su declaratoria final y posterior publicación en el Diario Oficial de la Federación.
Leer nota
El pleno del Senado de la República rechazó las modificaciones propuestas para la consulta de revocación de mandato.

Mutila Senado de la República Plan B electoral; va sin revocación

Una votación diferenciada del Partido del Trabajo impidió que Morena y el PVEM alcanzaran la mayoría calificada para modificar las reglas de la consulta presidencial en 2027.
Leer nota
Los senadores Saúl Monreal y Óscar Cantón confirmaron que el dictamen se mantendrá fiel a la iniciativa enviada por la Presidencia.

Senadores de Morena ratifican dictamen del Plan B sin cambios

Los legisladores Saúl Monreal y Óscar Cantón aseguran que la reforma electoral mantendrá la redacción original de la Presidencia, mientras aliados analizan su voto.
Leer nota

Morena respaldará recorte al presupuesto legislativo

La bancada de Morena en Quintana Roo anunció su respaldo total a la reforma electoral, lo que implica una inminente reducción presupuesto del congreso local y ajustes salariales.
Leer nota
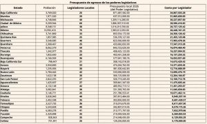
Rosa Icela Rodríguez detalla los límites presupuestales que enfrentarán los Congresos locales con la aprobación del nuevo marco legal.

Envía Sheinbaum Plan B de la Reforma Electoral al Senado

La presidenta Claudia Sheinbaum informó que el Plan B de la Reforma Electoral busca reducir gastos en el INE, partidos políticos y congresos locales.
Leer nota